ELIPSE

 ********

 ELIPSE

******* 

1. Definición

 Es aquel lugar geométrico en donde la suma de distancias desde un punto de la elipse hacia los dos focos es constante y se demuestra que es igual al tamaño del eje mayor.

En la siguiente imagen se puede apreciar los elementos y caracteristicas que presenta la elipse.

Elementos

C: centro de la elipse

A y A': extremos del eje mayor

B y B': extremos del eje menor

F1 y F2: focos

P: punto genérico de la elipse

Normalmente se asigna las letras "a", "b" y "c" como medidas de la mitad del eje mayor, mitad del eje menor y mitad de la distancia entre focos respectivamente y estos tienen una relación pitagórica.


En síntesis una elipse se define como:

2.  Ecuaciones de la elipse

2.1 Ecuaciones canónicas

Son aquellas que tienen su centro en el origen de coordenadas.

Eje mayor horizontal



Eje mayor vertical


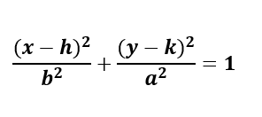
2.2 Ecuaciones ordinarias

Son aquella que no tienen su centro en el origen de coordenadas.

Eje mayor horizontal

 

Eje mayor vertical


2.3 Ecuación general

La ecuación general es aquella que se representa de forma extensa y es la siguiente.

Con A diferente de B.

3. Lado recto (LR)

Es aquel segmento en la elipse que pasa perpendicularmente por cada foco y tiene sus extremos en la elipse. Toda elipse tiene dos lados rectos.


 4. Excentricidad (e)

 La excentricidad es aquella que permite referenciar la forma que toma una elipse. En otros términos la excentricidad mide el grado de achatamiento.

 

 De la relación pitagórica antes mencionada, podemos deducir que a > c y por tanto la siempre cumplirá con que e < 1. 

En general la excentricidad va 0 < e < 1.

" Gracias por llegar hasta aquí"

DALE CLIK👇👇

 😎 Redes sociales

✅ INSTAGRAM: https://www.instagram.com/?hl=es-la​ 👈 

Publicar un comentario

0 Comentarios

Update cookies preferences